產品中心
相關產品
中藥標準品
產品編號 |
英文名稱 |
CAS號 |
包裝 |
Y3680 |
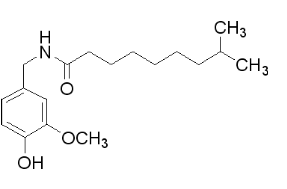
Dihydrocapsaicin |
19408-84-5 |
可根據客戶要求訂制 |
英文名稱:Dihydrocapsaicin
CAS號:19408-84-5
分析標準品
分子式 C18H29NO3 分子量307.43

基本信息:
存貯條件 儲存溫度2-8°C
描述
產品介紹 辣椒素類似物。
別名 二氫辣椒堿 ;N-(4-羥基-3-甲氧基芐基)-8-甲基壬酰胺 ;8-Methyl-N-vanillylnonanamide
應用 VR1辣椒素受體激動劑。

- 上一條:α-熊果苷
- 下一條:脫水穿心蓮內酯琥珀酸半酯