產品中心
相關產品
中藥標準品
產品編號 |
英文名稱 |
CAS號 |
包裝 |
Y3619 |
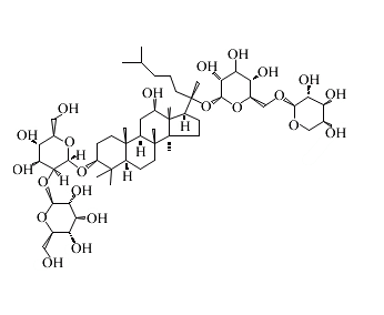
Ginsenoside Rb2 |
11021-13-9 |
可根據客戶要求訂制 |
英文名稱:Ginsenoside Rb2
CAS號:11021-13-9
分析標準品
分子式 C53H90O22 分子量1079.26
基本信息:
密度 1.42
存貯條件 儲存溫度2-8℃
描述
別名 人參皂苷Rb2;(3β,12β)-20-[(6-O-α-L-Arabinopyranosyl-β-D-glucopyranosyl)oxy]-12-hydroxydammar-24-en-3-yl 2-O-β-D-glucopyranosyl-β-D-glucopyranoside; NSC 308878
