產品中心
相關產品
中藥標準品
產品編號 |
英文名稱 |
CAS號 |
包裝 |
Y4001 |
Glycitin |
40246-10-4 |
可根據客戶要求訂制 |
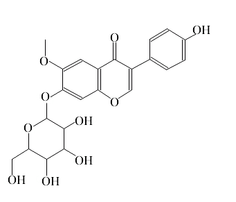
英文名稱:Glycitin
CAS號:40246-10-4
分析標準品,≥98%(HPLC)
分子式 C22H22O10 分子量446.40
基本信息:
密度 1.545
存貯條件 密封2-8°C保存
描述
別名 黃豆黃苷 ;黃豆黃甙,大豆黃苷;4H-1-Benzopyran-4-one 7-(β-D-glucopyranosyloxy)-3-(4-hydroxyphenyl)-6-methoxy-Glycitein Glycitein 7-O-β-glucoside
