產品中心
相關產品
中藥標準品
產品編號 |
英文名稱 |
CAS號 |
包裝 |
Y4003 |
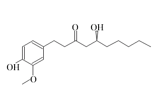
[10]-Gingerol |
23513-15-7 |
可根據客戶要求訂制 |
英文名稱:[10]-Gingerol
CAS號:23513-15-7
分析標準品,≥96%
分子式 C21H34O4 分子量350.49
基本信息:
存貯條件 儲存溫度2-8°C
描述
別名 10-姜酚;(S)- 5-Hydroxy-1-(4-hydroxy-3-methoxyphenyl)-3-tetradecanone 10-Gingerol
應用 [10]-姜酚是一種生物活性化合物,具有抗發炎和抗氧化活性
