產品中心
相關產品
中藥標準品
產品編號 |
英文名稱 |
CAS號 |
包裝 |
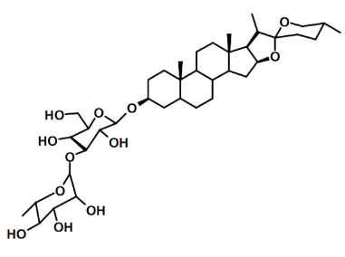
Y3781 |
Polyphyllin C |
76296-71-4 |
可根據客戶要求訂制 |
英文名稱:Polyphyllin C
CAS號:76296-71-4
分析標準品,≥98%
分子式 C39H62O12 分子量722.902
基本信息:
存貯條件 儲存溫度2-8℃
描述
別名 ;Spiro[8H-naphth[2',1':4,5]indeno[2,1-b]furan-8,2'-[2H]pyran] alpha-D-glucopyranoside deriv
描述
別名 ;Spiro[8H-naphth[2',1':4,5]indeno[2,1-b]furan-8,2'-[2H]pyran] alpha-D-glucopyranoside deriv
