產品中心
食品和飲料標準品
產品編號 |
英文名稱 |
CAS號 |
包裝 |
Y3176 |
Carmine solution |
1390-65-4 |
可根據客戶要求訂制 |
產品編號:Y3176
英文名稱:Carmine solution
CAS號 1390-65-4
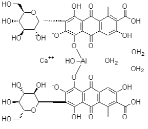
0.50mg/mL,基體:水
分子式 C22H20O13 分子量492.39
基本信息:
敏感性 對光敏感
密度 1
描述
產品介紹 本品系胭脂紅(C22H20O13)的鋁鈣色淀。溶于硼砂液,還溶于堿金屬的氫氧化物或碳酸鹽類成深紅色溶液,部分溶于熱水,幾乎不溶于冷水或稀酸。
別名 胭脂紅;胭脂蟲紅;7-β-D-吡喃葡萄糖基-3,5,6,8-四羥基-1-甲基-9,10-二氧代-蒽-2-羧酸;Carmine Red; Carmine
應用 制備胭脂紅酸,胚胎學中作整體染色,細胞核染色,滴定氨溶液指示劑,顯微分析,熒光分析,染料、食物的著色等。可用于食品中合成色素檢測方法的校準和標準化,也可作為工作標準,用于日常分析和檢測。
