產品中心
食品和飲料標準品
產品編號 |
英文名稱 |
CAS號 |
包裝 |
Y3168 |
Rutin hydrate |
207671-50-9 |
可根據客戶要求訂制 |
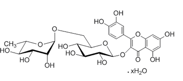
產品編號:Y3168
英文名稱:Rutin hydrate
CAS號 207671-50-9
分析標準品,≥98%
分子式 C27H30O16·xH2O 分子量610.52
基本信息:
敏感性 對光敏感
密度 1.82
熔點 195°C
存貯條件 密封避光保存
描述
產品介紹 1g能溶于8ml水;200ml沸水;7ml沸甲醇。能溶于二甲基亞砜和吡啶、甲酰和堿液,微溶于乙醇;丙酮和乙酸乙酯,幾乎不溶于水、氯仿、醚、苯、二硫化碳和石油醚。稀溶液遇三氯化鐵呈綠色。無氣味,在光的作用下漸變暗,水溶性12.5 g/100 mL。
別名 紫皮甙水合物;維生素P水合物; 蘆丁水合物;
應用 維生素類藥。有降低毛細血管通透性和脆性的作用,保持及恢復毛細血管的正常彈性。用于防治高血壓腦溢血;糖尿病視網膜出血和出血性紫癜等,也用作食品抗氧劑和色素。

- 上一條:蓖麻油酸
- 下一條:D(+)-阿拉伯糖醇